Seguro que alguna vez habéis oído hablar de las famosas dietas cetogénicas. Parte de culpa la puede tener un tal Chris Froome, diversos artículos en revistas deportivas y blogs, hablaron sobre su cambio físico gracias a un “milagroso” cambio de dieta.
Aunque la dieta cetogénica también se usa con pacientes oncológicos por sus demostrados beneficios, hoy tan solo nos vamos a centrar en la visión deportiva.
Pues bien, vamos a ver qué es, cómo podemos llevarla y que beneficios y desventajas nos ofrece.
Empecemos por lo más importante, saber en que consiste una dieta cetogénica.
Por definición, una dieta cetogénica es aquella que elimina los hidratos de carbono. Es decir, se obtienen las kcal a base de proteínas y grasas. Eliminando los alimentos ricos en hidratos de carbono, limitando su consumo al mínimo.
¿Qué alimentos son ricos en hidratos? Alimentos como la pasta, el arroz, las patatas, boniato, cereales y legumbres. Además de todos los derivados o que contengan en su composición algunos de estos.
Entonces… ¿Qué comemos? Con una dieta cetogénica debemos obtener la totalidad de nuestras kcal diarias con proteínas de calidad y grasas, estas últimas teniendo un papel importante, puesto que eliminando los hidratos como fuente de energía, las grasas pasan a ser la principal fuente de energía. Por lo tanto debemos buscar fuentes de grasas saludables, ricas en ácidos grasos insaturados.
Esto debe quedar claro, aunque cuando se eliminan los hidratos, la tendencia es a aumentar el consumo de proteínas, debe quedar claro que una dieta cetogénica NO debe confundirse con las dietas hiperproteicas.
Existen diversas adaptaciones de este tipo de alimentación, desde las más restrictivas que llegan a
restringir el consumo de frutas y verduras por su contenido en hidratos hasta las más permisivas donde si que se permiten excepciones. Siendo estas últimas las más recomendables.
Pros vs Contras
Según un estudio 1 con deportistas de resistencia tras seguir dieta cetogénica durante 10 semanas.
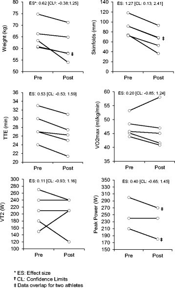
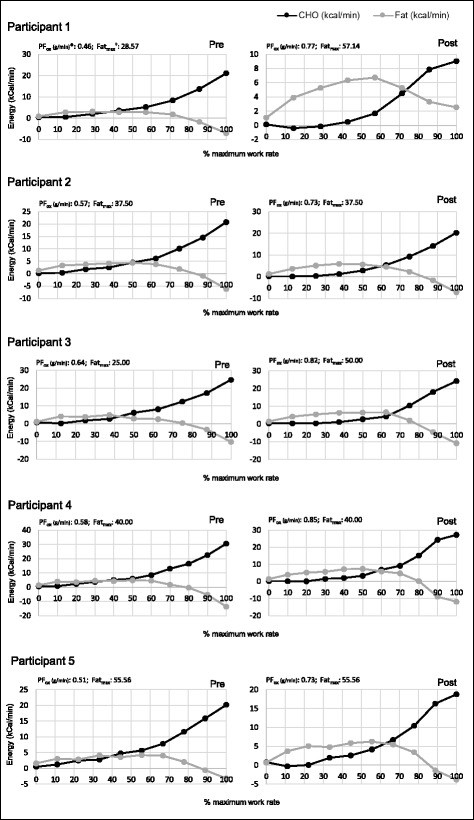
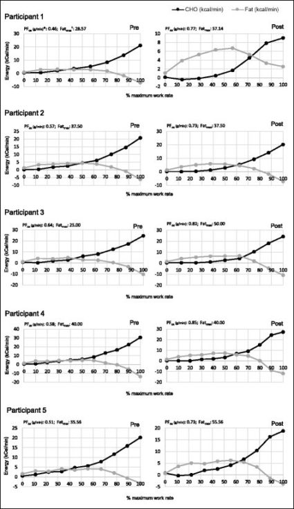
Los resultados demostraron que los atletas perdieron de media 4kg, siendo en su mayoría % de masa grasa. Además también se observo como después del estudio, los atletas usaban eran mucho más eficientes a la hora de utilizar lípidos como vía energética, reservando así el glucógeno muscular tan solo para momentos de alta intensidad
Es decir, la dieta cetogénica produce cambios significativos en la composición corporal. Siendo una buena herramienta para la pérdida de peso.
Sin embargo, en este mismo estudio, también se observo el rendimiento de estos atletas. Viendo como su tiempo medio de máxima intensidad hasta el agotamiento se redujo en 2’, el VO2 máx también se vio reducido en -1,69 ml.kg.min, el pico de potencia se vio reducido en -18w y el VT2 en -6w.
Todo esto siendo valores medios, teniendo en ceunta que hay excepciones individuales donde no hubo
pérdida en el rendimiento.Estos atletas también comentaron que al empezar este tipo de alimentación se sentían bajos de energía, seguidos de una adaptación y un retorno a unos niveles energéticos normales pero sin la capacidad de realizar con facilidad ejercicios a alta intensidad.
Retomando a Chris Froome, él asegura que sigue una dieta “low carb”, es decir, periodización de carbohidratos. Teniendo épocas donde el consumo de estos es bajo o muy bajo, tomándolo como estrategia para que su cuerpo sea más eficiente con la utilización de grasa como vía energética y además ayudando a perder peso. Pero en momento de máxima intensidad y competición, el consumo de hidratos es alto para poder cubrir sus necesidades y obtener el máximo rendimiento deportivo.
Así que podemos concluir, viendo que una dieta cetogénica puede ser una gran aliada a la hora de perder masa grasa. Pero la eliminación de los hidratos de carbono como fuente de energía nos va a repercutir con un menor rendimiento deportivo.
Por lo tanto, no es una buena opción seguir una dieta restrictiva en hidratos de carbono en períodos de alta intensidad y/o competición.
Artículo realizado por: Alex Sempere
Referencias bibliográficas
1- J Int Soc Sports Nutr.2017 Jul 12;14:22. doi: 10.1186/s12970-017-0180-0. ECollection 2017.
Ketogenic diet benefits body composition and well-being but not performance in a pilot case study of New Zealand endurance athletes.











